Can we get out of Betz Farm?
I spent the last few days doing what I love to do... research. At the last meeting, I raised the question to the board...
"Where are we at with Betz Farm? It has been 18 months since this board approved the amendment to the contract and at the time you said it would close within months. Here we are and still not closed."
The answer was that the buyer has a pause on the development application and that there is no clear timeframe for movement. Remember, the April 2024 amendment the BOCC agreed to allows Bravo Land Group (James Dicks) to hold off on closing UNTIL they get all the approvals they want for the property from the BOCC. He is asking for 1400+ homes based on the application. It only goes to closing IF he gets that project approved.
I said back then it was a stupid idea and I say that today. But the board (most of them anyway) decided to agree to those terms.
Here we are.
Let's enter the time machine and go back a bit to give a brief overview of how we got here.
Going all the way back (pains me to say that) to early 2000's, Tamposi (the developer who developed Citrus Hills among other areas in the county), owned 358.87 acres in Crystal River called Betz Farm. Without getting too technical, the plan was for him to develop that into neighborhood of 1979 homes. He decided to pivot from that project and focus on others.
He proposed to the county in May of 2003 to donate the Betz Farm property to the county and allow him to transfer money and credits he paid on it to that point to other projects. The money was mostly impact fees and the total amount was $352,198.60. The credits were for 1979 houses for sewer/water hookup.
So the county got Betz Farm for free basically and he was able to transfer what he had already paid to other projects. He suggested that the county use it for recreation and conservation purposes. Although that use was not binding to the donation, the board discussed possible uses include a sport complex, passive walking trails etc. It passed with a 5-0 vote.
In April 2022, the board decided list the property for sale... something along the lines of "it needs to be returned to the tax rolls". They also discussed the much needed animal shelter and would like to see the proceeds from the sale go towards that. They listed it for sale and had 3 buyers submitted offers.. Interestingly, Tamposi submitted an offer of $5.3million. They chose an offer from a Tampa developer named Hamid Ashtari, for $6.6 million.
Ashtari started doing the planning process and going through the permitting process with SWFWMD. He asked and was granted 2 extensions on the contract. He asked for a 3rd extension when he was still unable to secure permits but the board voted against that extension in June of 2023.
Back for sale it went. In October 2023, Bravo Land Group submitted a $6million offer and the board accepted.
Ok all caught up. This deal has been in place for two whole years and has not closed. I wanted to know what the hold up was, so I started reading.
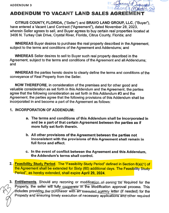
If you recall earlier, I mentioned in April 2024, the board gave Bravo what amounts to an indefinite closing period. Here are the terms

As you can see, he only closes whenever he gets the approvals he needs. If the county does not approve the development he proposes, no money. Kinda crazy. This approval also ended the discussion on using these funds for the animal shelter, as originally intended when it was listed for sale. The board has now decided to bond the money and that decision will likely come in January. Even if Bravo moves this along, there is not enough time for approvals before the board decides on the animal shelter. This property cannot be used in that decision.
I have thought this was always best in the county's control. We talk about wanting more conservation lands and we see that the state may not always keep its lands as conservation, so we need to control more of our land. We cannot trust others to do that for us. Betz Farm could help us do that. If we are talking about doing a sales tax for conservation and using that money to buy more land, why would we sell this piece that can be used for that purpose? Plus, there are wetlands there.. do we really want 1000+ homes at this site?
So I went to work on finding a way to get out of the contract. Now, I am not a real estate attorney by any means, but I can read. I know enough to find a loophole or an out if one exists. And I think I did.
You see, look back at the image above. It is the closing contingencies. Look at section C in that paragraph. It states that application for development is due within twenty business days of due diligence period.
Hmm...
To determine that, you need to look at the effective dates of the contract. That starts the clock on all of this and all the future dates are tied to the effective date.

Here, it says the effective date is the date when the last person signs. In this case, it was the county on November 28, 2023. That becomes the date in which all deadlines are based.

The other important thing to note with these contracts is what constitutes a day. Some contracts exclude weekends and holidays. Others count all days. So what does this contract say constitutes a day?

Basically, any time period less than 5 days does not include weekends or holidays. Every other deadline over 5 days includes all calendar days, unless it ends on a Saturday, Sunday or Holiday, in which is moves to the next business day. Important to know this going forward.
From there, the contract states the first deposit is due within 7 days. That was paid December 1st.

OK good there.
Next, we move to some title stuff. They submitted their issues within the time frames. All good there.
Next is the Feasibility Study and Due Diligence.


Both of these state 90 days. This would set February 26, 2024 as the deadline to finish these items.
There was an amendment signed on March 5, 2024 that pushed the feasibility study back an additional 60 days. It is now April 29, 2024.

Then comes the amendment we mentioned earlier, signed April 19, 2024. This pushes it back an additional 60 days. Although it does not mention a date, it clearly says 60 days, so that makes it June 18, 2024.

Now, here is where things get interesting.
Remember back to that section C that I mentioned? They need to file their development application within 20 days of the due diligence period? Well we saw where due diligence was 90 days. It was never technically extended. That should have expired back February 26, 2024. If we give the benefit of the doubt and assume that due diligence was tied to the feasibility study and also extended (I am not sure I would be that nice), then those extensions put the deadline at June 18, 2024. 20 days later would be July 8, 2024.
This means that the development plan application would need to be submitted to the county by July 8th to be following the terms of the contract.
Here is that application

The key here is the date it was signed.

It says it was signed August 9, 2024. That is a MONTH after the deadline in the amended contract.... thus a violation of the contract.
What does the contract then say?

Basically, if the buyer defaults, the seller can back out of the deal and could keep all deposits if it wishes. A default is also stated to include missing specified timelines. Sending the application in a month late is missing a deadline.
Also, the there was an amendment added to the original contract at signing that changed the deposit terms.

Instead of the original $50k deposit within 7 days of the Feasibility Study Period, this changed it to $100k.
Remember, the Feasibility Study Period was extended twice and expired June 18, 2024. The 2nd deposit of $100k was made June 28, 2024.

That is 10 days after the Feasibility Study Period ended. That is a 2nd violation of the contract (well I guess first because that triggered before the application violation). Now, is this a huge deal and a reason for the county to cancel a contract? Eh.. maybe, maybe not. But it is a violation.
Now, all that said. Unless I was given the incorrect documents for the wrong dates, there is a clear violation of this contract. Bravo did not send in the application within the 20 day window. They were an entire month late.
I would love to see the county cancel this contract and keep this land in the public's hands. What is the point of selling this property, then using the sales tax to raise funds to buy some other property that we keep for conservation/parks? This was land that we got for FREE. Why pay money for something else?
This could make a great spot for a sports facility, as originally discussed. I have mentioned that it would make a good ATV park, like the Bone Valley in Polk County... or dozens of other uses that protect it from development.
I have sent this to commissioners to consider. Maybe I am completely wrong and reading this incorrectly.. their lawyer should be able to tell them... but this potentially opens the door for the contract being cancelled and Betz kept in public ownership for conservation and parks, as originally intended 22 years ago.